您的当前位置:首页 > 产品知识 > 更多产品知识 > 球荷的循环次数
作者:红星机器 发布时间:2017-06-21 17:57:38
 钢球受力而产生运动,在分析这种运动过程中,描述了钢球的轨迹。研究钢球运动学的目的,在于建立决定转速、装球率、有用功率和生产率的基础。从钢球产生的磨矿作用来看,这些都必然与钢球对矿石的冲击次数有关。
 磨机一直是作圆运动的,但其中的钢球的运动轨迹,一部分是圆曲线,另一部分是抛物线。因此,磨机转一转,钢球的运动未必也就是一个循环。从图3-2-10可以看出,钢球从脱离点A真抛到落回点B,比圆运动快,因而钢球总是超前的,换句话说,磨机转一转时,钢球不只循环运动一次。设%"是钢球作圆运动的时间,当磨机转一转时,用同样速度作圆运动的钢球转过的圆心角为 ,因此
,因此

由公式(2-38)可知

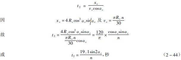
设t2为钢球作抛物落下的时间,取Ac点为坐标原点,则

从而钢球运动一个循环需要的时间为

磨机转一转钢球的循环次数于是为

 由此式可知:钢球的循环次数取决于脱离角ac。当磨机转速不变时,不同的球层有不同的脱离角,它的循环次数也不同。磨机的转速越高,ac越小,循环次数也越少。到了钢球离心化时,ac=0,J=1,钢球贴在衬板上与磨机一起转动。
 再从全部球荷来看,如图3-2-13,在磨机转一周的时间内,沿圆形轨迹经过断面AB的球的体积为

 此处的L为磨机长:K=
 设 为装球率,磨机内装球的体积为
为装球率,磨机内装球的体积为 。如果磨机转一转,全部钢球循环J次,则
。如果磨机转一转,全部钢球循环J次,则

 于是 
 公式(2-20),指明 ,所以R2(或由它算出的K)的值依从转速n而有一极限值。超过此极小值,多加的那些球就不能作抛物落下。所以上式中的J,既与装球率
,所以R2(或由它算出的K)的值依从转速n而有一极限值。超过此极小值,多加的那些球就不能作抛物落下。所以上式中的J,既与装球率 有关,又通过K值而与磨机的转速有关。如图3-2-14表示的情况。图中曲线说明:转速率越大的,在同样装球率下,K值也越大,J值却较小。如果转速率相同,装球率越多,K值越小,J值却较大。这就是转速、装球量和影响冲击量的钢球循环次数的相互关系,从而况明了正确决定磨机转速的重要性。〔附〕图3-2-9中K、
有关,又通过K值而与磨机的转速有关。如图3-2-14表示的情况。图中曲线说明:转速率越大的,在同样装球率下,K值也越大,J值却较小。如果转速率相同,装球率越多,K值越小,J值却较大。这就是转速、装球量和影响冲击量的钢球循环次数的相互关系,从而况明了正确决定磨机转速的重要性。〔附〕图3-2-9中K、 和
 和 的关系式的证明装球率(
的关系式的证明装球率( )与球荷切面积(
)与球荷切面积( )的关系为
)的关系为

 球荷切面积包含作圆曲线运动的切面积( 1)和作抛物线运动的切面积(
1)和作抛物线运动的切面积( 2)两部分,即
2)两部分,即

 故须先求出 1和
1和 2。
2。
 如下图,任取一球层,它的半径是R,此层球从落回点B作圆运动到脱离点A经历的圆弧所对的圆心角 为
为

当球层半径的变化为dR时,弧形面积的变化为

 因 则
则

于是

球荷作抛物线运动的微分球荷截面积为:

 式中的 为筒体的角速度,t2为球在抛物线轨迹上运动的时间,
为筒体的角速度,t2为球在抛物线轨迹上运动的时间,

故

球荷截面积因此为

 因
 故
将此式代入公式(1)后,得到

 下面作一例题说明公式(11)的用法。
 例:设磨机直径为D,它的每分钟转数是 ,试用公式(11)计算它的K、
,试用公式(11)计算它的K、 和
和 的对应值。
的对应值。
 解:计算此种题目的步骤如下:
 1.根据 从给定的
从给定的 值算出a1;
值算出a1;
 2.因必须a2>a1,依次选取任意角a2; 
 3.由于角a1和a2用公式(11)算出 ;
;
 4.根据算出 由题中给的数据,求得:
由题中给的数据,求得:




选取a2为70。进行计算。






上一篇:矿石自磨与砾磨工艺技术及设备
下一篇:决定磨机转速的方法
如果您想了解我们的产品,可以随时拨打我公司的销售热线或点击咨询!
推荐阅读
 TOP169鄂破机价格及型号参数
TOP169鄂破机价格及型号参数鄂破机
 TOP257鄂破机一小时能产多少吨物料
TOP257鄂破机一小时能产多少吨物料鄂破机
 TOP3时产1000吨石料生产线设备有哪些?多少钱?
TOP3时产1000吨石料生产线设备有哪些?多少钱?石料生产线价格
 TOP4140圆锥破时产多少石子
TOP4140圆锥破时产多少石子圆锥破 圆锥破碎机
 TOP5小型碎沙机多少钱一台?
TOP5小型碎沙机多少钱一台?碎石机
 TOP6一套碎石机大概需要多少钱
TOP6一套碎石机大概需要多少钱碎石机
 TOP7生产雷蒙磨粉机(雷蒙磨)的厂家
TOP7生产雷蒙磨粉机(雷蒙磨)的厂家磨粉机
 TOP8每小时产200吨的石子破碎机多少钱一台?
TOP8每小时产200吨的石子破碎机多少钱一台?破碎机
 TOP969破碎机一小时处理多少立方石子?
TOP969破碎机一小时处理多少立方石子?破碎机 69颚式破碎机
 TOP101060颚破型号有哪些?什么价?
TOP101060颚破型号有哪些?什么价?颚破 颚式破碎机
 TOP11时产500吨石子生产线配置方案_厂家报价
TOP11时产500吨石子生产线配置方案_厂家报价生产线
 TOP12销量较好的雷蒙磨粉机型号有哪些
TOP12销量较好的雷蒙磨粉机型号有哪些雷蒙磨粉机
换一换 
想让资深工程师为您设计生产方案?想获取全套设备优惠报价单?请留言,专业经理即刻开始为您一对一服务!(不用担心信息泄露,我们将为客户提供信息保密服务!)
 1天定制方案
1天定制方案来厂考察即可获取资深工程师为您设计方案
 2天内发货
2天内发货多机型现货可选,签订合同,2天内发出
 7天正式投产
7天正式投产售后团队亲临现场,指导设备安装、试车,完成交付
 3-5个月实现盈利
3-5个月实现盈利跟踪砂场运营情况,提供生产运营指导,保障砂场快速盈利
河南红星矿山机器有限公司 总部地址:中国郑州高新技术产业开发区檀香路8号

工程师免费设计方案已有162位获得心仪的方案
算一算 搭配一条合适的生产线需要多少钱?
点击获取报价
