您的当前位置:首页 > 产品知识 > 更多产品知识 > 矿石分级技术——颗粒在运动介质中的自由沉降
作者:红星机器 发布时间:2017-06-25 16:51:30
矿石分级技术——颗粒在运动介质中的自由沉降速度的计算方法。
在匀速垂直上升介质流中,颗粒自由沉降的末速度va为:

 式中 v0———颗粒在静止介质中自由沉降的末速度;
 ua———上升介质流速度。
当v0>ua时,va为正值,颗粒向下沉降;在v0<ua时,颗粒向上运动;在v0=ua时,v0=0,颗粒呈悬浮状态。
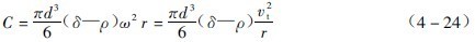
在旋转运动的介质流中,处于其中的矿粒要受到离心力C 的作用,其值为:

 式中 C———离心力,N;
 w———颗粒随介质作回转运动的角速度,rad/s;
 r———颗粒的回转半径,m;
 v1———颗粒回转的切线速度,m/s。
 在离心力作用下,颗粒将沿着离心力方向运动,此时,颗粒要受到介质阻力。当离力与介质阻力相平衡时,颗粒将以匀速一直沿着离力方向沉降。若在回转半径方向上,介质绕颗粒作层流运动,或Re 0.5,则离心沉降速度vc为:
0.5,则离心沉降速度vc为:

如介质绕颗粒流过为其它流态,或Re>0.5, 中相应的介质阻力R,在R=C时,导出各情况下的离心沉降速度。
本篇内容于 2017-06-25 16:51:30 已补充更新上一篇:砾磨的给矿及砾磨介质
如果您想了解我们的产品,可以随时拨打我公司的销售热线或点击咨询!
推荐阅读
 TOP169鄂破机价格及型号参数
TOP169鄂破机价格及型号参数鄂破机
 TOP257鄂破机一小时能产多少吨物料
TOP257鄂破机一小时能产多少吨物料鄂破机
 TOP3时产1000吨石料生产线设备有哪些?多少钱?
TOP3时产1000吨石料生产线设备有哪些?多少钱?石料生产线价格
 TOP4140圆锥破时产多少石子
TOP4140圆锥破时产多少石子圆锥破 圆锥破碎机
 TOP5小型碎沙机多少钱一台?
TOP5小型碎沙机多少钱一台?碎石机
 TOP6一套碎石机大概需要多少钱
TOP6一套碎石机大概需要多少钱碎石机
 TOP7生产雷蒙磨粉机(雷蒙磨)的厂家
TOP7生产雷蒙磨粉机(雷蒙磨)的厂家磨粉机
 TOP8每小时产200吨的石子破碎机多少钱一台?
TOP8每小时产200吨的石子破碎机多少钱一台?破碎机
 TOP969破碎机一小时处理多少立方石子?
TOP969破碎机一小时处理多少立方石子?破碎机 69颚式破碎机
 TOP101060颚破型号有哪些?什么价?
TOP101060颚破型号有哪些?什么价?颚破 颚式破碎机
 TOP11时产500吨石子生产线配置方案_厂家报价
TOP11时产500吨石子生产线配置方案_厂家报价生产线
 TOP12销量较好的雷蒙磨粉机型号有哪些
TOP12销量较好的雷蒙磨粉机型号有哪些雷蒙磨粉机
换一换 
想让资深工程师为您设计生产方案?想获取全套设备优惠报价单?请留言,专业经理即刻开始为您一对一服务!(不用担心信息泄露,我们将为客户提供信息保密服务!)
 1天定制方案
1天定制方案来厂考察即可获取资深工程师为您设计方案
 2天内发货
2天内发货多机型现货可选,签订合同,2天内发出
 7天正式投产
7天正式投产售后团队亲临现场,指导设备安装、试车,完成交付
 3-5个月实现盈利
3-5个月实现盈利跟踪砂场运营情况,提供生产运营指导,保障砂场快速盈利
河南红星矿山机器有限公司 总部地址:中国郑州高新技术产业开发区檀香路8号

工程师免费设计方案已有162位获得心仪的方案
算一算 搭配一条合适的生产线需要多少钱?
点击获取报价
